服務
  • 服務
  • 產品
  • 報價
首頁/產業資訊/台灣茶業新契機【100%無毒茶~243項農藥檢測報告】

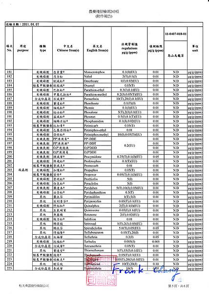
台灣茶業新契機【100%無毒茶~243項農藥檢測報告】

台灣茶業新契機【100%無毒茶~243項農藥檢測報告】

2011.04.07檢測報告.jpg  

2011.04.07檢測報告(1).jpg  

2011.04.07檢測報告(2).jpg  

2011.04.07檢測報告(3).jpg  

2011.04.07檢測報告(4).jpg

2011.04.07檢測報告(5).jpg  

2011.04.07檢測報告(6).jpg  

  

打造主動式行銷官網自動媒合訂單,AI協助優化網站排名

關鍵字:

https://ippbx_pro.web66.com.tw/web/News?postId=394122新一代行車紀錄器 +GPS 軌跡紀錄

GPS,監視器,行車紀錄器,車速同步錄影,軌跡紀錄,

詢價留言

您好,如有任何詢價需求,請善用這裡的【詢價留言】我們在收到您的留言時,會盡快處理及回覆!

驗證碼圖片驗證碼圖片驗證碼圖片驗證碼圖片
同步成為台灣黃頁詢價供應商。
To:
瀚東萊

Email:hg******@kimo.com

詢價回覆率:57%

相關廠商/供應商

  • 新邦麗國
  • 佳品實業
  • 億陽科技
  • 燁廷企
填寫詢價單